
Los datos de rendimiento del forjado de aleación de titanio demuestran su uso común
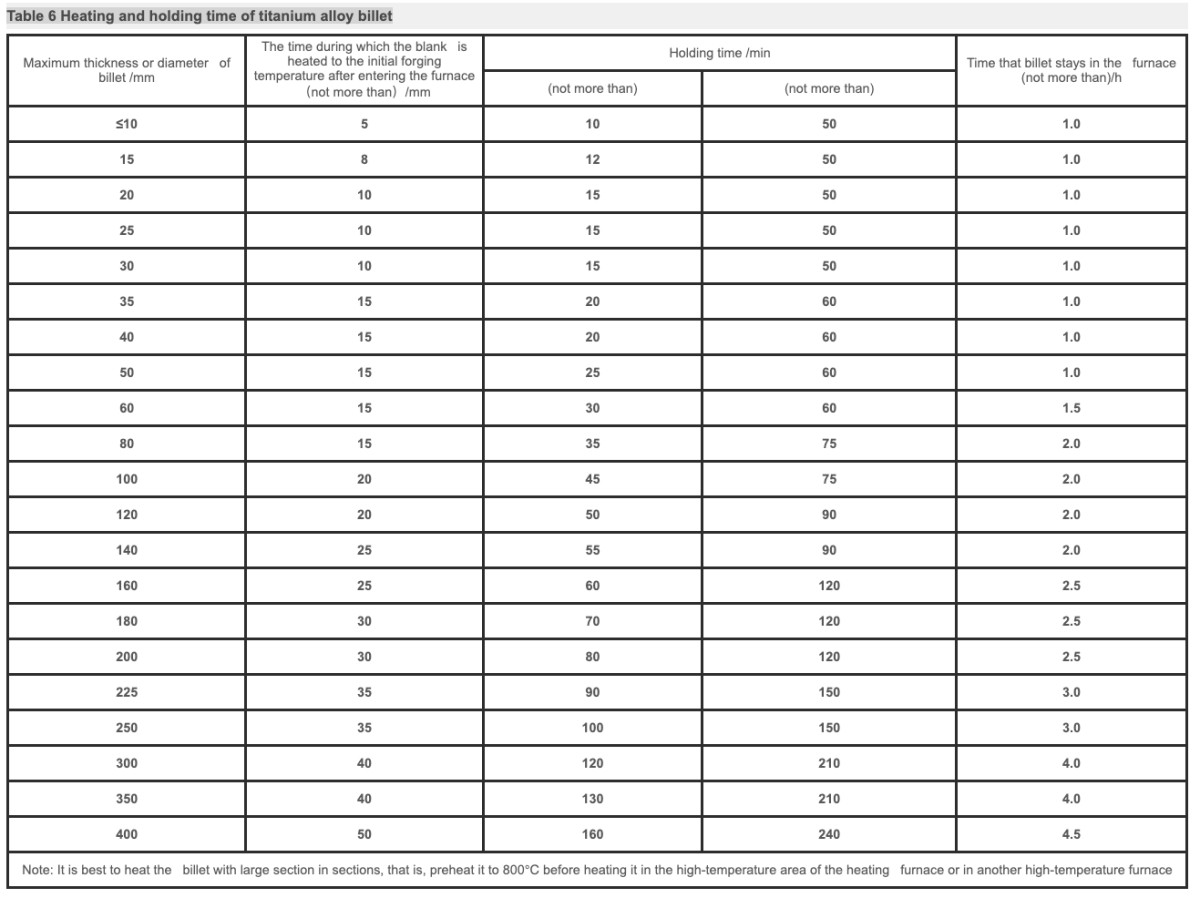
Según la investigación teórica y la experiencia de producción en fábrica, los datos de rendimiento del proceso de forjado de aleación de titanio tipo α, tipo α cercano, tipo α﹢β y tipo β puro se resumen en la Tabla 1 ~ Tabla 6.
De los datos de la Tabla 1 ~ 6 se puede ver que la temperatura de apertura de la mayoría de los lingotes de aleación de titanio está dentro del rango de 1150 ℃ ~ 1200 ℃, y la temperatura de forjado inicial de algunos lingotes de aleación de titanio está dentro del rango de 1050 ℃ ~ 1100 ℃. Ambas de estas dos zonas de temperatura se encuentran en la zona de fase, y la primera es mucho más alta que la temperatura de transición de fase por dos razones: primero, la aleación tiene alta resistencia a la conformación y baja resistencia a la deformación en la zona de fase, lo que favorece la mejora de la productividad con el fin de esforzarse por un tiempo de forjado más largo; En segundo lugar, la pieza en bruto de los lingotes de fundición se suministra principalmente para forjar para hacer la pieza en bruto, y su estructura se puede mejorar después del forjado con un gran grado de deformación, para no afectar el rendimiento del forjado, por lo que se elige el proceso con alta productividad.
Se puede ver a partir de los datos de la Tabla 1 ~ 6 que la temperatura de forjado inicial del forjado en matriz en la prensa no solo es mucho más baja que la temperatura de forjado inicial de la fundición del lingote, sino también más baja que la temperatura de transformación de fase α/β de 30 ℃ ~ 50 ℃. La temperatura de forjado en matriz de la mayoría de las aleaciones de titanio está en el rango de 930 ℃ ~ 970 ℃. Esto es para asegurar la deformación en la región de fase α﹢β para obtener las propiedades estructurales requeridas de las piezas forjadas. Debido a que el forjado en matriz de martillo necesita muchos golpes y el tiempo de operación es largo, la temperatura de calentamiento de la pieza forjada terminada se puede aumentar en 10 ℃ ~ 20 ℃ en comparación con el forjado de la máquina de prensa. Sin embargo, para asegurar la microestructura y las propiedades mecánicas de las piezas forjadas de aleación de titanio terminadas, la temperatura de forjado final del proceso de forjado debe controlarse en la región de dos fases α﹢β.
También se puede ver de la tabla 1 a la tabla 6 que la temperatura de forjado inicial de la mayoría de las aleaciones de titanio preformadas es ligeramente superior o cercana a la temperatura de transición de fase. La temperatura de forjado inicial α/β del proceso de transición, como el preformado, es inferior a la temperatura de apertura del lingote y superior a la temperatura de forjado inicial del troquelado. La deformación en esta zona de temperatura no solo cuida la productividad, sino que también prepara el forjado con una mejor estructura.





